首頁
Index
最新消息
最新消息
全部
最新消息
公司介紹
About
公司簡介
環境外觀
生產製造
產品介紹
Product
矽酸鈣板
輕質矽酸鈣板 0.8 FK
傳統矽酸鈣板 1.0FK
特殊規格:4*3/4*4/10尺矽酸鈣板
纖維水泥板
溼式灌漿板
產品特性
Feature
全部
矽酸鈣板
纖維水泥板
肺塵症相關議題
應用
作品管理
常見問題
Q&A
檔案下載
Download
全部
佳大產品簡介
隔音測試報告
工程實績與證明
設備資料
全部
施工圖
實績
證明
矽酸鈣板回收辦法
菁英招募
Recruit
聯絡我們
聯絡我們
關閉
快訊
聯絡我們
首頁
聯絡我們
填表諮詢
請詳細填寫以下表單並清楚告訴我們訴求,當本公司收到這封信時,我們會盡快回覆您。
(*)必填
*
詢問項目
矽酸鈣板之物理數據
*
姓 名
*
連絡電話
E-mail
LINE ID
*
內 容
*
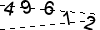
驗證碼
(
更換
)
確認送出
視訊列表
TOP
選單
TOP